针灸推拿学院学生李文璇在国际著名期刊发表荟萃分析论文
发布时间:2025.02.17点击:911
近日,sunbet申搏官网针灸推拿学院2020级中医学(5+3一体化针灸推拿英语方向)李文璇同学,以第一作者的身份在国际外科学领域著名期刊International Journal of Surgery发表了题为Acupuncture for rehabilitation after total knee arthroplasty: a systematic review and network meta-analysis的系统评价与网状Meta分析论文。本文由sunbet申搏官方网站附属龙华医院针灸科主任裴建和上海体育大学运动健康学院厉坤鹏老师共同指导。

全膝关节置换术(total knee arthroplasty,TKA)是膝骨关节炎严重功能障碍患者改善膝关节功能的关键治疗方法,如何提升术后康复效果,是患者TKA术后最大的难题,各种康复训练和传统中医康复治疗是必然的选择。而针灸是中医疗法中最主要的治疗方式,但长期以来,针灸在外科领域尤其是手术后康复过程中的效果备受争议,尤其是针灸治疗是否有助于TKA术后康复,如何确定针灸的具体效果,以及各种不同针灸形式的治疗效果差异,是针灸领域研究的热点问题。
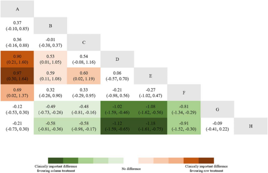
该文基于循证医学系统评价和网状Meta分析的方法,检索了PubMed、Embase、Cochrane等6大数据库及clinicalTrials.gov中针灸治疗TKA术后患者的相关临床试验研究,纳入28项符合条件的随机对照试验,共涉及2128例患者。所评估7种干预措施包括传统针灸、电针、耳穴贴压、温针灸、艾灸、特殊针灸(激光针灸、干针等)及假针灸。通过贝叶斯网络Meta分析,整合直接与间接比较,评估针灸对TKA术后患者视觉模拟评分(VAS)的疼痛缓解效果,对TKA术后患者膝关节活动度(ROM)、膝关节功能恢复情况(HSS评分)及膝关节僵硬度(WOMAC评分)改善情况。
研究结果提示,电针在疼痛缓解方面效果最优(SMD=0.58,95% CI=0.36-0.81),温针灸与艾灸次之,均显著优于假针灸和常规康复治疗;耳穴贴压(刺激耳部神门、皮质下等穴位)短期镇痛效果突出。耳穴贴压对膝关节活动度提升最显著,尤其适用于术后早期患者;干针等特殊针灸在增强肌力方面具有潜在价值。电针降低炎症指标较特殊针灸有显著优势,可能与电刺激频率调节神经递质释放有关。所有针灸疗法未报告严重不良反应,不良事件轻度且与TKA术后常见症状重叠,总体耐受性良好。




该文聚焦于全膝关节置换术后康复中针灸疗法有效性的争议问题,通过系统综述和网状Meta分析评估不同针灸疗法对全膝关节置换术后疼痛缓解、运动功能恢复、炎症减轻及整体膝关节康复的效果,为针灸疗法在TKA术后患者康复中的应用提供循证依据和决策支持。(针灸推拿学院)

